SKRINING MIKROBA PENDEGRADASI PLASTIK DARI TANAH DAN UJI BIODEGRADASI DENGAN FOURIER TRANSFORM INFRARED (FTIR)
DOI:
https://doi.org/10.15408/kauniyah.v15i1.19826Keywords:
Biodegradasi, Mikroorganisme, Plastik, Biodegradation, FTIR, HDPE, Microorganism, PlasticAbstract
Abstrak
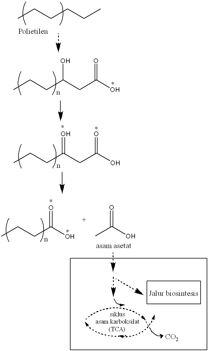
Saat ini pencemaran lingkungan telah menjadi permasalahan global, tidak hanya dirasakan oleh negara maju tetapi juga dialami oleh negara berkembang. Penyebab terjadinya pencemaran tersebut ialah adanya benda asing masuk ke dalam lingkungan, sehingga mengakibatkan kerusakan komposisi dari komposisi awalnya. Salah satu penyebab pencemaran lingkungan adalah kehadiran limbah plastik. Limbah tersebut merupakan limbah yang sangat sulit didegradasi. Salah satu solusi alternatif yang dilakukan dalam mendegradasi plastik adalah dengan menggunakan mikroorganisme. Penelitian ini bertujuan untuk melakukan skrining mikroorganisme dalam mendegradasi plastik. Jenis plastik yang digunakan sebagai sampel adalah High-Density Polyethylene (HDPE). Metode yang digunakan dalam penelitian ini adalah skrining mikroba dan uji biodegradasi dengan memanfaatkan Fourier Transform Infrared Spectroscopy (FTIR). Hasil yang diperoleh dalam studi ini adalah terdapat 17 jumlah isolat. Zona bening besar ditunjukkan oleh isolat A12P. Potensi biodegradasi terbesar selama 4 bulan dengan persentase 17,9104% ditunjukkan oleh isolat A12P. Hasil degradasi menunjukkan bahwa kehadiran gugus C=O mengindikasikan terjadinya reaksi oksidasi dan kinerja enzim oleh mikroba. Oleh karena itu, isolat A12P memiliki potensi untuk mendegradasi plastik.
Abstract
Nowadays environmental pollution has become a global problem, which is not only experienced by developed countries but also by developing countries. The cause of this pollution is the presence of foreign objects entering the environment resulting in damage to the composition of the original composition. One of the causes of environmental pollution is the presence of plastic waste. This waste is very difficult to degrade. One of the alternative solutions to degrade plastics is to use microorganisms. This study aims to screen microorganisms to degrade plastics. The type of plastic used as the sample was High-Density Polyethylene (HDPE). The method used in this research was microbial growth screening and biodegradation testing using Fourier transform infrared spectroscopy (FTIR). The results obtained 17 isolates. The largest clear zone was shown by isolate A12P. The greatest biodegradation potential for 4 months with a percentage of 17.9104% was shown by isolate A12P. The results of degradation indicated that the presence of the C=O group caused the occurrence of oxidation reactions and enzyme performance by microbes. Therefore, A12P isolate has the potential to degrade plastics.
References
Agustien, A., Jannah, M., & Djamaan, A. (2016). Screening polyethylene synthetic plastic degrading-bacteria from soil. Der Pharmacia Lettre, 8(7), 183–187.
Akmalasari, I., Purwati, E., & Dewi, R. (2013). Isolasi dan identifikasi jamur endofit tanaman manggis (Garcinia mangostana L). Biosfera, 30(2), 82–89.
Asmita, K., Shubhamsingh, T., & Tejashree, S. (2015). Isolation of plastic degrading micro-organisms from soil samples collected at various locations in Mumbai India. International Research Journal of Environment Sciences, 4(3), 77–85. www.isca.me
Awasthi, S., Srivastava, P., & Singh, P. (2017). Biodegradation of thermally treated high-density polyethylene (HDPE) by Klebsiella pneumoniae CH001.,. 3 Biotech, 7(5), 1–10. https://doi.org/10.1007/s13205-017-0959-3
Balasubramanian, V., Natarajan, K., Hemambika, B., Ramesh, N., Sumathi, C. S., Kottaimuthu, R., & Rajesh Kannan, V. (2010). High-density polyethylene (HDPE)-degrading potential bacteria from marine ecosystem of Gulf of Mannar, India. Letters in Applied Microbiology, 51(2), 205–211. https://doi.org/10.1111/j.1472-765X.2010.02883.
Danso, D., Chow, J., & Streita, W. R. (2019). Plastics: Environmental and biotechnological perspectives on microbial degradation. Applied and Environmental Microbiology, 85(19), 1–14. https://doi.org/10.1128/AEM.01095-19
Devi, R. S., Ramya, R., Kannan, K., Antony, A. R., Kannan, V. R. (2019). Investigasi potensi biodegradasi high density polyethylene merendahkan bakteri laut diisolasi dari daerah pesisir Tamil Nadu India. 138, 549–560. https://doi.org/10.1016/j.marpolbul.2018.12.001
Diarti, M., Yuri, S., & Yunan, J. (2017). karakteristik Morfologi, koloni dan Biokimia Bakteri yang Diisolasi dari Sedimen Laguna Perindukan Nyamuk. Jurnal Kesehatan Prima, 11(2), 124–136.
Djaenuddin, N., & Muis, A. (2015). Karakteristik Bakteri Antagonis Bacillus subtilis Dan Potensinya Sebagai Agens Pengendali Hayati Penyakit Tanaman. Prosiding Seminar Nasional Serealia, 489–494.
Fadlilah, M., & Shovitri, M. (2014). Potensi Isolat Bakteri Bacillus dalam Mendegradasi Plastik dengan Metode Kolom Winogradsky. 3(2).
Firdaus, D. I., Kuala, T. P. A., & Rasau, D. U. A. (2019). Skrining Bakteri Berpotensi Pendegradasi Polietilen Oxo-Degradable Dari Tanah Gambut. 8, 1–5.
Gultom, E. S., Nasution, M. Y., & Aprida, A. (2017). Seleksi Bakteri Pendegradasi Plastik dari Tanah. Jurnal Generasi Kampus, 10(2).
Gusnawaty, H., Taufik, M., Triana, L., & Asniah, D. A. N. (2014). KARAKTERISASI MORFOLOGIS Trichoderma spp . INDIGENUS SULAWESI TENGGARA Morphological Characterization Trichoderma spp . Indigenous Southeast of Sulawesi. 4(2), 87–93.
Hasanah, N, U., & Shovitri, M. (2015). Potensi Mikroorganisme Air Sampah Mangrove untuk Mendegradasi Plastik Hitam. JURNAL SAINS DAN SENI ITS, 4(2), 45–49.
Hidayati, D. Y. (2009). Vein Endothelial Cells ( Huvecs ) Culture The Influence Of Pseudomonas aeruginosa Induction To The Human Umbilical Vein Endothellial Cells (HUVECs) Culture. Jurnal Ilmiah Perikanan Dan Kelautan, 1(1), 1–6.
Jumiyati, Bintari, S. H., & Ibnul, M. (2012). Isolasi Dan Identifikasi Khamir Secara Morfologi Di Tanah Kebun Wisata Pendidikan Universitas Negeri Semarang. Biosaintifika: Journal of Biology & Biology Education, 4(1). https://doi.org/10.15294/biosaintifika.v4i1.2265
M, Inas, R., M., Kawuri, R., & Sudirga, S. (2017). Potensi Bakteri Pseudomonas Sp. Dan Ochrobactrum Sp. Yang Di Isolasi Dari Berbagai Sampel Tanah Dalam Mendegradasi Limbah Polimer Plastik Berbahan Dasar High Density Polyethylene (Hdpe) Dan Low Density Polyethylene (LDPE). Simbiosis Journal of Biological Sciences, 5(2), 58. https://doi.org/10.24843/JSIMBIOSIS.2017.v05.i02.p05
Marjayandari, L. (2015). Potensi Bakteri Bacillus sp . dalam Mendegradasi Plastik. Jurnal Sains Dan Seni ITS, 4(2), 2–5.
Mehmood, C. T., Qazi, I. A., Hashmi, I., Bhargava, S., & Deepa, S. (2016). Biodegradation of low density polyethylene (LDPE) modified with dye sensitized titania and starch blend using Stenotrophomonas pavanii. International Biodeterioration and Biodegradation, 113, 276–286. https://doi.org/10.1016/j.ibiod.2016.01.025
Munir, E., Harefa, R. S. M., Priyani, N., & Suryanto, D. (2019). Plastic degrading fungi Trichoderma viride and Aspergillus nomius isolated from local landfill soil in Medan. IOP Conference Series: Earth and Environmental Science, 112–145. %0A 10.1088/1755-1315/126/1/012145
Nathania, H. B. (2013). Studi Potensi Isolat Kapang Wonorejo Surabaya dalam Mendegradasi Polimer Bioplastik Poly. 2(2), 1–11.
Octavianda, T., Asri, & Lisdiana, L. (2016). Potensi Isolat Bakteri Pendegradasi Kenis Plastik Polietilen Oxo-Degradable dari Tanah TPA Benowo Surabaya. Lentera Bio, 5(1), 32–35. http://ejournal.unesa.ac.id/index.php/lenterabio%0APotensi
Oramahi, H. A., Sumardiyono, Christanti Pusposendjojo, N., & Haryadi, H. (2006). Identifikasi Jamur Genus Aspergillus pada Gaplek di Kabupaten Gunung Kidul. Jurnal Perlindungan Tanaman Indonesia, 12(1), 25–32. https://doi.org/10.22146/jpti.11959
Praja, R. N., & Yudhana, A. (2018). Isolasi Dan Identifikasi Aspergillus Spp pada Paru-Paru Ayam Kampung Yang Dijual di Pasar Banyuwangi. Jurnal Medik Veteriner, 1(1), 6. https://doi.org/10.20473/jmv.vol1.iss1.2017.6-11
Puspita, E., Muhammad, A., & Ridho, P. (2017). Isolasi dan Karakterisasi Morfolologi dan Fisiologi Bakteri Bacillus sp. Endofitik dari Tanaman Kelapa Sawit (Elaeis guineensis Jacq.). Agrotek Trop, 6(2).
Rohmah, U. M., Shovitri, M., & Kuswytasari, K. (2019). Degradasi Plastik Oleh Jamur Aspergillus terreus (LM 1021) Pada pH 5 dan pH 6; Serta Suhu 25 dan 35 Celcius. Jurnal Sains Dan Seni ITS, 7(2), 5–10. https://doi.org/10.12962/j23373520.v7i2.37207
Romadhon, R., Subagiyo, S., & Margino, S. (2012). Isolasi dan Karakterisasi Bakteri Asam laktat dari Usus Udang Penghasil Bakteriosin sebagai Agen Antibakteria pada Produk-produk Hasil Perikanan. Jurnal Saintek Perikanan, 8(1), 59–64.
Skariyachan, S., Setlur, A. S., Naik, S. Y., Naik, A. A., Usharani, M., & Vasist, K. S. (2017). Enhanced biodegradation of low and high-density polyethylene by novel bacterial consortia formulated from plastic-contaminated cow dung under thermophilic conditions. Environmental Science and Pollution Research, 24(9), 8443–8457. https://doi.org/10.1007/s11356-017-8537-0
Sriningsih, A., & Maya, S. (2015). Potensi Isolat Bakteri Pseudomonas sebaga pendegradasi plastik. 4(2), 67–70.
Suyono, Y., & Salahudin, F. (2011). Pseudomonas Pada Tanah Yang Terindikasi Kontaminasi Logam. Jurnal BIOPROPAL INDUSTRI, 01, 8–13.
Wilkes, R. A., & Aristilde, L. (2017). Degradation and metabolism of synthetic plastics and associated products by Pseudomonas sp.: capabilities and challenges. Journal of Applied Microbiology, 123, 582–593.
Yekki, F. (2011). Isolation and Observation of Morphology of Chitinolytic Bacteria Colony. Jurnal Ilmiah Pendidikan Biologi, Biologi Edukasi, 3(2), 20–25.
Zulaika, A., Soesilo, T. E. B., & Noriko, N. (2017). (2017). Penentuan potensi kemampuan Trichoderma SP. dalam proses degradasi sampah plastik rumah tangga. Prosiding Seminar Nasional Teknologi Pengelolaan Limbah XV, 137–146.
Zusfahair, Z., Lestari, P., & Riana Ningsih, D. Widyaningsih, S. (2007). Biodegradasi Polietilena Menggunakan Bakteri Dari Tpa (Tempat Pembuangan Akhir) Gunung Tugel Kabupaten Banyumas. Molekul, 2(2), 98. https://doi.org/10.20884/1.jm.2007.2.2.39









